| Amino Acid | 3-letters code | 1-letter code | Molecular weight |
|---|---|---|---|
| Alanine | Ala | A | 89.1 |
| Arginine | Arg | R | 174.2 |
| Asparagine | Asn | N | 132.1 |
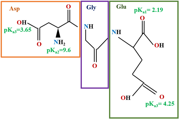
| Aspartate | Asp | D | 133.1 |
| Cysteine | Cys | C | 121.2 |
| Glutamate | Glu | E | 147.1 |
| Glutamine | Gln | Q | 146.2 |
| Glycine | Gly | G | 75.1 |
| Histidine | His | H | 155.2 |
| Isoleucine | Ile | I | 131.2 |
| Leucine | Leu | L | 131.2 |
| Lysine | Lys | K | 146.2 |
| Methionine | Met | M | 149.2 |
| Phenylalanine | Phe | F | 165.2 |
| Proline | Pro | P | 115.1 |
| Serine | Ser | S | 105.1 |
| Threonine | Thr | T | 119.1 |
| Tryptophan | Trp | W | 204.2 |
| Tyrosine | Tyr | Y | 181.2 |
| Valine | Val | V | 117.1 |
| Amino Acid | pKa1 | pKa2 | pKa3 | pI |
|---|---|---|---|---|
| Glycine (Gly) | 2.34 | 9.60 | - | 5.97 |
| Alanine (Ala) | 2.34 | 9.69 | --- | 6.015 |
| Valine (Val) | 2.32 | 9.62 | --- | 5.96 |
| Leucine (Leu) | 2.36 | 9.60 | --- | 5.98 |
| Isoleucine (Ile) | 2.36 | 9.68 | --- | 6.02 |
| Methionine (Met) | 2.28 | 9.21 | --- | 5.74 |
| Proline (Pro) | 1.99 | 10.60 | --- | 6.295 |
| Phenylalanine (Phe) | 1.83 | 9.13 | --- | 5.48 |
| Tryptophan (Trp) | 2.38 | 9.39 | --- | 5.885 |
| Asparagine (Asn) | 2.02 | 8.80 | --- | 5.41 |
| Glutamine (Gln) | 2.17 | 9.13 | --- | 5.65 |
| Serine (Ser) | 2.21 | 9.15 | --- | 5.68 |
| Threonine (Thr) | 2.09 | 9.10 | --- | 5.595 |
| Tyrosine (Tyr) | 2.20 | 9.11 | --- | 5.66 |
| Cysteine (Cys) | 1.96 | 8.18 | --- | 5.07 |
| Aspartic acid (Asp) | 1.88 | 9.60 | 3.65 | 2.77 |
| Glutamic acid (Glu) | 2.19 | 9.67 | 4.25 | 3.22 |
| Lysine (Lys) | 2.18 | 8.95 | 10.53 | 9.74 |
| Arginine (Arg) | 2.17 | 9.04 | 12.48 | 10.76 |
| Histidine (His) | 1.82 | 9.17 | 6.00 | 7.59 |
| pH | 1 | 3 | 4 | 5 | 10 |
| Net Charge |